728x90
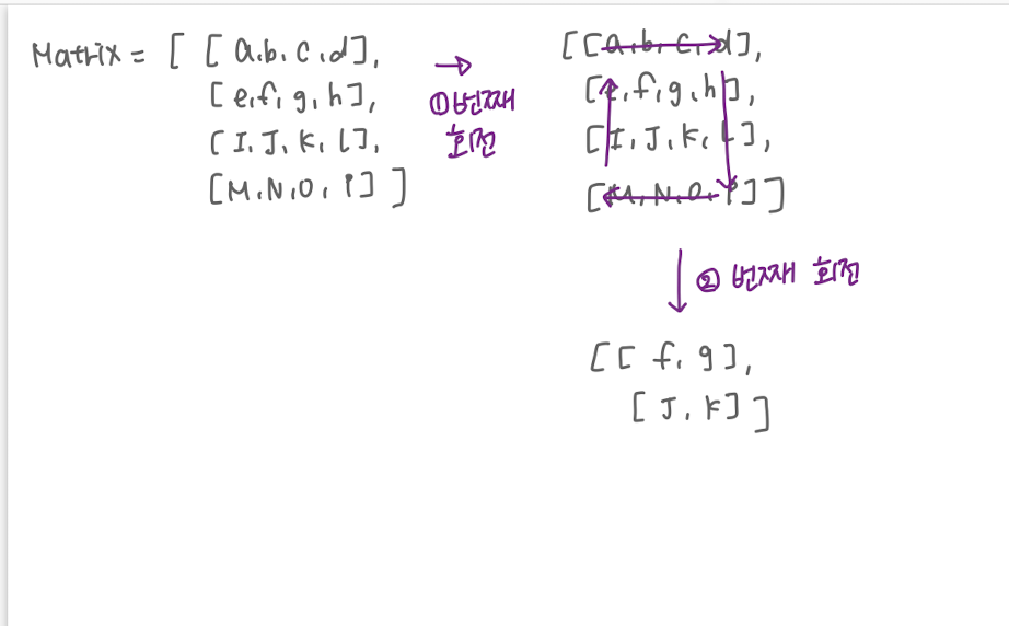
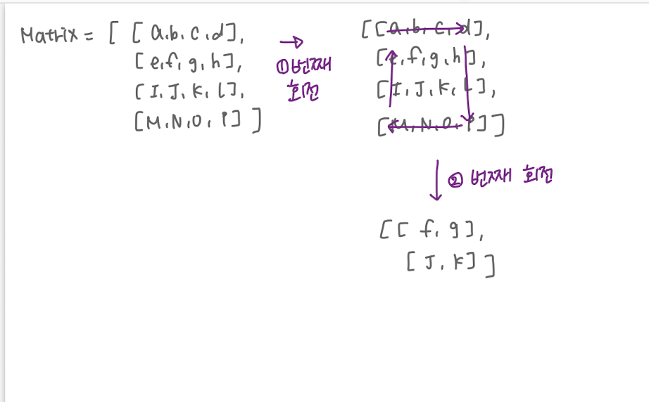
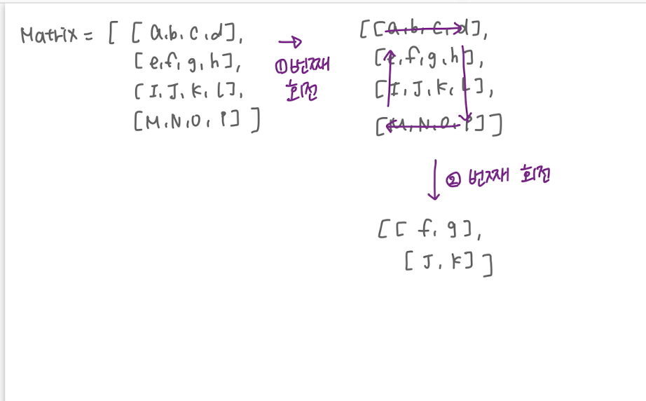
spiral Traversal : 행렬형태로 되어있는 이중 배열을 나선형으로 한바퀴 돌면서 요소들을 출력하는 알고리즘 문제

위의 그림과 같이 회전 시마다 1. 오른쪽 -> 2. 아래로 -> 3. 왼쪽으로 -> 4. 위로 해당 순서로, 한바퀴 돌면서, 각 요소들을 제거하고 새로운 배열에 집어넣어준다.
그렇다면 그 다음 회전시에는 2번째 회전 이후에 보이는 예시처럼 새로운 행렬에서 새로 한바퀴 도는 형태가 된다.
|
1
2
3
4
5
6
7
8
9
10
11
12
13
14
15
16
17
18
19
20
21
22
23
24
25
26
27
28
29
30
31
32
33
34
35
36
37
38
39
40
41
42
43
44
45
46
47
48
49
|
var spiralTraversal = function (matrix) {
var result = [];
var goAround = function (matrix) {
//매트릭스 내에 원소가 하나도 없는 경우가 재귀함수 나오는 기저조건
// 나선형으로 돌려면 행렬 기준으로 가장 바깥의 원소들을 한바퀴 돌아야 한다.
// 주어진 행렬의 가장 첫번째 배열을 그냥 통째로 제거하고 새로운 배열에 넣으면 일종의 왼쪽에서 오른쪽으로 한바퀴 돌면서 원소를 하나씩 넣은 격이다.
//따라서 따로 반복문을 돌지 않고, 배열 하나를 통째로 concat으로 결과 배열과 합쳐주고 shift로 기존 행렬에서는 제거해준다.
if (matrix.length !== 0) {
result = result.concat(matrix.shift());
} else {
return;
}
// 아래로 내려 가는 경우이다.
// 행렬의 j번째에 위치한 배열의 가장 마지막 요소를 제거하여 결과 배열에 넣어준다. 따라서 pop활용한다.
for (var j = 0; j < matrix.length - 1; j++) {
if (matrix[j].lenth !== 0) {
result.push(matrix[j].pop());
} else {
return;
}
}
// 가장 아래에서 오른쪽-> 왼쪽으로 가는 경우는 첫번째 경우인 가장 첫번쩌 배열에서 왼쪽-> 오른쪽으로 가는 경우를 반대로 생각하면 된다.
//주어진 행렬의 가장 마지막 배열을 넣어주되(pop사용), 이번엔 오른쪽-> 왼쪽으로 가는 것이기 때문에 reverse로 뒤집어 준다.
if (matrix.length !== 0) {
result = result.concat(matrix.pop().reverse());
} else {
return;
}
// 이 또한 아래로 내려가는 경우와 반대로 생각하면된다.
// 이번에는 k번째 배열의 가장 맨 앞의 요소가 제거되면서 결과 배열에 들어가야 한다.
for (var k = matrix.length - 1; k >= 0; k--) {
if (matrix[k].length !== 0) {
result.push(matrix[k].shift());
} else {
return;
}
}
//이렇게 재귀함수를 돌다가 가장 맨위의 기저조건 즉 행렬에 요소가 하나도 없을때까지 돌다가 반환된다.
return goAround(matrix);
};
goAround(matrix);
return result;
};
|
cs |
728x90
'CS STUDY > Algorithm&Data structure' 카테고리의 다른 글
| [Python] 알고리즘 문제풀이1 (0) | 2021.01.06 |
|---|---|
| 정수론 - 소수(에라토스테네스의 체) (0) | 2020.12.30 |
| LRU Cache 자료구조 이해하기 (0) | 2020.12.16 |
| [JS]알고리즘 문제풀이 12 (1) | 2020.12.09 |
| [JS] 알고리즘 문제풀이 11 (0) | 2020.12.09 |